Тип Д25 C1 № 314310 

Источник: Банк заданий ФИПИ
Раздел кодификатора ФИПИ: Алгебраические выражения, уравнения, неравенства и их системы. Алгебраические выражения
i
Сократите дробь 
Спрятать решениеРешение. Разложим числитель на множители, используя метод группировки:



Ответ: 
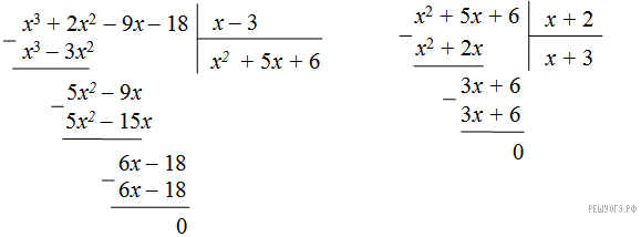
Приведем другое решение.
Последовательно разделим многочлен на одночлены в столбик:

Спрятать критерииКритерии проверки:| Критерии оценивания выполнения задания | Баллы |
|---|
| Правильно выполнены преобразования, получен верный ответ | 2 |
| Решение доведено до конца, но допущена ошибка или описка вычислительного характера, с её учётом дальнейшие шаги выполнены верно | 1 |
| Другие случаи, не соответствующие указанным выше критериям | 0 |
| Максимальный балл | 2 |
Источник: Банк заданий ФИПИ
Раздел кодификатора ФИПИ:
В ответе нужно указать дополнительные условия: икс не равен 3 и икс не равен минус 2. При этих значениях икс знаменатель обращается в нуль и дробь не определена
Нет, не нужно. Если в задаче явно не указано иное, тождественные преобразования выражений не требуют исследования ОДЗ.